「動物の知能」ってどうやって測るの?
「イルカは賢い」と言われるけれど、果たして犬や猫より本当に頭がいいの?
この記事では、脳化指数(EQ)=潜在的な脳の発達度 と、知能指数(IQ)=実際の行動から推定した能力 の2つの視点で、動物たちの知能を徹底比較します。
|- IQが高い動物たちランキング:驚きの賢さを持つ生き物たち🎉🤩🐾
🧠 脳化指数(EQ)とは?
脳化指数(Encephalization Quotient, EQ)は、体の大きさに対して脳がどれくらい発達しているかを示す数値です。
- EQ = 実際の脳重量 ÷ 体重から予測される脳重量
- EQ > 1.0 → 体の割に脳が大きい(知能が高い傾向)
- EQ < 1.0 → 脳が小さめ(本能的な行動が中心)
代表的なEQ値
- 人間:7〜8
- イルカ:4〜5
- 犬:1.2〜1.5
- 猫:1.0前後
- 馬:0.9
- 牛:0.5
👉 イルカは犬よりも「潜在的な脳の大きさ」が高く、人間に次ぐレベルです。
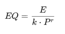
🧮 EQの計算式(Jerison 1973)
脳化指数(Encephalization Quotient, EQ)の計算式は以下のとおりです。

- E = 実際の脳重量(g)
- P = 体重(g)
- k, r = 定数(哺乳類や鳥類など、分類群ごとに異なる)
一般的に使われる哺乳類の式
Jerisonは r = 0.67(2/3) を採用しました。
これは「体重が大きくなると、脳も大きくなるが比例ではなく体重の2/3乗に比例する」という経験則(アロメトリー)に基づきます。

(※定数 0.12 は、哺乳類の平均値に合わせたもの)
✅ 例:人間で計算してみる
- 体重:70kg = 70,000g
- 実際の脳重量:1,400g

EQ = 1,400 ÷ 180 ≈ 7.8
👉 これが「人間はEQが7〜8で群を抜いて高い」と言われる理由です。
🤔 知能指数(IQ的推定)とは?
動物にIQテストを受けさせることはできませんが、行動実験や課題解決能力から人間のIQに換算した推定値があります。
代表的なIQ推定値(目安)
- チンパンジー:85〜90(人間の幼児並み)
- イルカ:約80前後
- 馬:約70(人間の6歳児程度)
- 犬:60〜65(言葉の理解・学習能力が高い)
- 猫:50〜55(狩猟本能や空間認識に強み)
👉 IQでは「犬」がかなり健闘しており、イルカとの差は思ったより小さいのです。
🤔 IQ(知能指数)の基本
人間の IQ(Intelligence Quotient) は、標準化されたテストで算出されます。
式にすると👇

- 精神年齢(Mental Age) = テストで得られた知能レベル
- 生活年齢(Chronological Age) = 実際の年齢
✅ 例:10歳の子が「12歳レベルの問題」を解けた場合

IQ=(12÷10)×100=120
🐾 動物の場合は?
動物には「精神年齢」や「生活年齢」が設定できないため、人間のIQのように正確な数式は存在しません。
その代わりに、研究者は次のような 課題実験 をもとに「人間のIQに換算すると○○くらい」という 推定値 を出しています。
主な実験方法
- 迷路やパズルの解決速度
- 隠された餌を見つける学習能力
- 人間の指差しや表情を理解できるか
- 道具を使う能力
- 記憶の保持時間
📊 動物IQの「擬似計算」イメージ
人間のIQ式を動物に当てはめるなら、こう表現できます👇

つまり、
- 「人間の子どもと比べてどのくらいできるか?」
- 「その行動を年齢で割り出すとどのくらいか?」
という 相対評価 によって推定されているわけです。
👉 だから「イルカのIQは80前後」「犬は60〜65」といった数値は、あくまで人間の尺度に換算した参考値 なのです。
🐶 犬と🐬 イルカ、どちらが賢いのか?
- EQだけで見れば → イルカの方が圧倒的に高い。
- IQ的な行動能力で見ると → 犬は人間の指示理解や社会的知能に優れており、日常生活では“賢さ”を強く実感できる。
つまり、
- イルカ=「潜在知能の高さ」
- 犬=「人間社会で役立つ実用知能」
という違いが浮かび上がります。
📊 EQとIQの比較表
| 動物 | EQ(脳化指数) | IQ推定値 | 特徴 |
|---|---|---|---|
| 人間 | 7〜8 | 100基準 | 言語・抽象思考 |
| イルカ | 4〜5 | 約80 | 音声コミュニケーション・社会性 |
| チンパンジー | 2〜3 | 85〜90 | 道具使用・協力 |
| 犬 | 1.2〜1.5 | 60〜65 | 学習能力・社会的理解 |
| 猫 | 約1.0 | 50〜55 | 狩猟本能・空間認識 |
| 馬 | 約0.9 | 約70 | 記憶力・表情認識 |
| 牛 | 約0.5 | 約40 | 群れ行動・単純学習 |
🌍 EQとIQが示す「動物知能の不思議」
- EQが高くても、必ずしもIQが高いわけではない
- 種ごとに「得意な知能」が異なる(イルカ=社会性、犬=協働、猫=空間認識)
- 「賢さ」は一つの物差しでは測れない
👉 だからこそ、「動物はどのくらい頭がいいの?」という問いには、脳と行動の両方から見ていくことが大切です。
📝 まとめ
- EQランキングではイルカが上位
- IQ的推定や協働性では犬が上位
結局、「どっちが賢い?」という問いの答えは…
「数値だけで言えば、イルカは犬よりも“脳の潜在力”が高く、動物界でもトップクラスです。
一方、犬は人間社会でタスクを理解し、学習・協働できる“実用知能”でイルカを上回る場面もあります。
つまり、「潜在知能」ならイルカ、「人間との実生活での賢さ」なら犬と評価できます🐶🐬✨
この記事を読んだ人におすすめ📚
|- 【決定版】驚異の視力を持つ動物TOP20 🦅👀 驚きの視界を大公開!
|- 🐍 ヘビの真実 — 知能・賢さ・歴史から最新研究まで徹底解剖
|- 🌍 世界の最恐動物ランキングTOP10 — 人類を脅かす危険な生物たち
|- 世界の偉人たちが残した「動物とペットの名言」ダ・ヴィンチからガンディーまで
|- 【猫の不思議】猫の“変顔”には意味があった!😹 ヤコブソン器官とフレーメン反応とは?
|- 🧭【驚きの第六感】渡り鳥・ウミガメ・クジラが持つ「磁気感受性(マグネトレセプション)」とは?🌍 動物のすごい能力!“動物の地球コンパス”
|- 🐻 熊は人間に近い?数字で解き明かす知恵・感情・社会性
|- 🐾 【2025年最新版】犬猫の医療費は病院で10倍差?手術・通院費用のリアルと保険で備える方法
あにまるまにあ いぬまにあ くままにあ とりまにあ ねこまにあ イルカ ウマ オオカミ カラス ジャーマン・シェパード ゾウ トラ トリビア ライオン ランキング 伝説の生き物 動物 動物のIQ 動物のトリビア 動物のランキング 動物の不思議 動物の歴史 動物の生態 動物の知能 動物の研究 動物の科学 動物の習性 動物の能力 動物の行動 動物の視力 動物の論文 動物の雑学 大型犬 熊 熊の生態 犬 犬の生態 犬の能力 猫 猫の不思議 猫の生態 神獣・伝説・神話 警察犬 雑学 鳥類












コメント